利用skip connections模块生成迁移性强的对抗样本
- 论文名称:《Skip Connections Matter: On The Transferability Of Adversarial Examples Generated With ResNets》
- 作者单位:Dongxian Wu/ Tsinghua University
- 收录时间:2020 ICLR
- 文章亮点:发现了深度神经网络中skip connections模块的使用导致了迁移性强的对抗样本的产生。
Motivation
- 在深度神经网络中,skip connection 将residual module(残差模块)的输入直接与输出相连,建立从浅层到深层的捷径。有助于保留低级特征。且在添加多层时避免性能下降。
- 白盒攻击算法,如FGSM、BIM、PGD和CW由于其迁移性差,难以应用在日常生活中更常见的黑盒模型中。因此很多研究也旨在提高基于替身模型的黑盒攻击的可迁移性,例如:(Dong et al., 2018)的Momentum Boosting、(Xie et al., 2019)的Diverse Input和(Dong et al., 2019) Translation Invariance。
- 但是上述的无论时白盒攻击还是黑盒攻击,是目标攻击还是替身攻击。在考虑增强对抗攻击的可迁移性的思路上,都是将整个网络看成是一个整体,却忽略了网络内部的体系结构特征。(这个思路好厉害)
- 基于实验观察利用skip connection跳过残差模块可以大大增加黑盒攻击的成功率。
文章的技术贡献
-
提出了Skip Gradient Method(SGM),利用类ResNet神经网络中的Skip Connection可以很容易生成迁移性强的对抗样本。
-
实验证明了SGM可以极大地提高对抗样本的迁移性。
Skip Gradient Method(SGM):
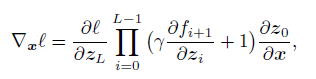
为了更多的利用skip connection的梯度信息,文章在梯度计算公式中引入了一个衰减参数γ来降低residual module模块的梯度。γ∈(0,1]
梯度计算公式
Skip connection的迁移性实例研究:
对抗样本生成方法:10-step PGD和其对应的SGM版本
实验替身模型:ResNet(RN)-18/34/50/101/152 and DenseNet(DN)-121/169/201
攻击目标模型:Inception V3
数据集:ImageNet
参数设置:PGD步长α=2、SGM衰减参数γ=0.5
实验结果:对抗样本攻击的迁移性大大提高
实验结果
且当替身模型中具有更多的Skip Connection时,其生成的对抗样本就更加具有可迁移性。
Comparison To Exising Transfer Attacks:
- 单独实验说明:
- Baselines:将SGM与FGSM、PGD、MI、DI、TI攻击算法进行对比
- Threat Model:采用黑盒攻击模型
-
Target Models:
- 攻击的目标模型有未经过对抗训练的传统模型:VGG19、ResNet-152、DenseNet-201、154 layer Squeeze-and-Excitation network、Inception V3、Inception V4、Inception-ResNet V2
-
攻击的目标还有经过对抗性训练的安全模型:IncV3ens3、IncV3ens4 、IncResV2ens3
- Sourse Models:即替代模型所使用的模型,利用对抗样本的迁移性,用来生成可以攻击其他网络的对抗样本。用了ResNet-18、ResNet-34、ResNet-50、ResNet-101、ResNet-152 、DenseNet-121、DenseNet-169、DenseNet-201.
-
将SGM与其他攻击方法结合,测试其迁移性。如MI+SGM、DI+SGM和MI+DI+SGM的攻击效果提升
-
实验还探究了SGM衰减率γ对攻击迁移性能的影响
Enjoy Reading This Article?
Here are some more articles you might like to read next: